La función de transferencia estándar (1) para un sistema de 2do orden está expresamente diseñada en función de estos parámetros (ganancia, frecuencia natural y coeficiente de amortiguamiento) que están ligados al comportamiento físico de la respuesta y a la situación de sus polos en el plano “s”. Para empezar, con solo conocer el valor del coeficiente de amortiguamiento ζ, podemos determinar la forma de la respuesta del sistema, y el tipo de sistema.
3.2.1 Tipos de sistemas de segundo
- Sub amortiguado (0<ζ<1)
- Críticamente amortiguado (ζ=1)
- Sobre amortiguado (1<ζ)
- Oscilatorio (ζ=0)
- Inestable (ζ<0)
3.2.2.- parámetros de la respuesta sub amortiguada ante la entrada escalón
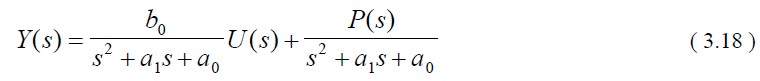
Un sistema de segundo orden viene descrito por una ecuación diferencial del tipo
con condiciones iníciales y(0), y'(0) .
La transformada de Laplace aplicada a la ecuación resulta en
con P(s) debido a las condiciones iníciales.
Ante entrada escalón de amplitud A con U(s) = A / s y considerando nula la respuesta de entrada cero, la respuesta sería función de las raíces s1 y s2 del polinomio característico de la función de transferencia
La respuesta y(t) será obtenida descomponiendo en fracciones simples Y(s) que viene dada por
Presentándose tres casos, a saber:
a) raíces reales distintas
Que darán y(t) aplicando la transformada inversa de Laplace
Cuya representación gráfica aparece en la Figura 3.2. Los sistemas con este tipo de respuesta con s1, s2> 0 se denominan sobre amortiguados.
b) raíces reales iguales
a) C) raíces
complejas
Referencias
Ogata, K. (2002). Ingeniería de control moderna (3.a ed.). Pearson.
Kuo, B. C. (2001). Sistemas de control automático (7.a ed.). Prentice Hall.










Comentarios
Publicar un comentario